2012-11-29 16:33:00 來源:映象網
網友評論0條 查看全文(共1頁)

由宋致新編著的災害專著《1942:河南大旱災》
1942年夏到1943年春,河南發生大旱災,夏秋兩季大部絕收。大旱之后,又遇蝗災。饑荒遍及全省110個縣。 據估計,1000萬眾的河南省,有300萬人餓死,另有300萬人西出潼關做流民,沿途餓死、病死、扒火車擠踩摔(天冷手僵從車頂上摔下來)軋而死者無數。

有災害記錄的《兩年來的善后救災》

有災害記錄的《河南抗戰史略》

有災害記錄的《河南省開封市1949年歷年大水大旱史料》

災害資料整理者宋映雪為當年災害的題詞

《1942:河南大旱災》目錄

記錄有1942河南災害天氣的《河南省西漢以來歷代災情史料》

有災害記錄的《河南文史資料》

災民,看到左側年輕人的白鞋,應該是剛死去親人。河南大饑荒宋致新劉海永提供資料圖片

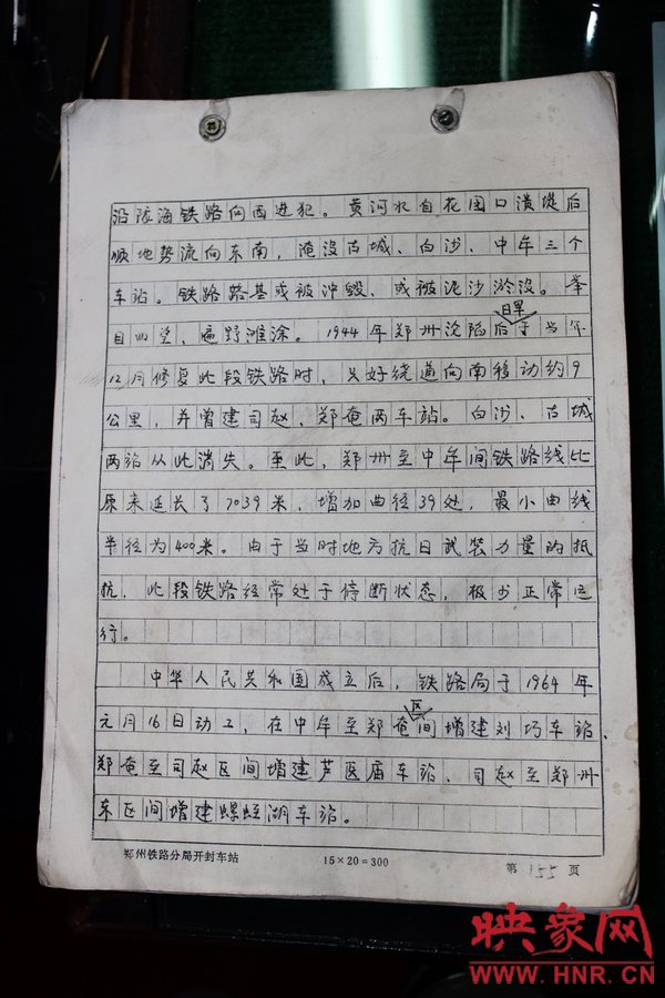
鄭州鐵路分局開封車站關于災難的記錄

河南大饑荒宋致新劉海永提供資料圖片

河南大饑荒宋致新劉海永提供資料圖片

河南大饑荒宋致新劉海永提供資料圖片

河南大饑荒宋致新劉海永提供資料圖片

河南大饑荒宋致新劉海永提供資料圖片

河南大饑荒宋致新劉海永提供資料圖片

河南大饑荒宋致新劉海永提供資料圖片

河南大饑荒宋致新劉海永提供資料圖片

河南大饑荒宋致新劉海永提供資料圖片

河南大饑荒宋致新劉海永提供資料圖片

河南大饑荒宋致新劉海永提供資料圖片

河南大饑荒宋致新劉海永提供資料圖片

河南大饑荒宋致新劉海永提供資料圖片

河南大饑荒宋致新劉海永提供資料圖片

河南大饑荒宋致新劉海永提供資料圖片

河南大饑荒宋致新劉海永提供資料圖片

河南大饑荒宋致新劉海永提供資料圖片

河南大饑荒宋致新劉海永提供資料圖片

河南大饑荒宋致新劉海永提供資料圖片

河南大饑荒宋致新劉海永提供資料圖片

河南大饑荒宋致新劉海永提供資料圖片

河南大饑荒宋致新劉海永提供資料圖片